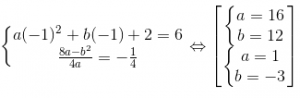
Bai so 3-d trang 49 dai so 10 ham so bac 2






giaoanppt

Giaoan.link trang chia sẽ giáo án điện tử, bài giảng powerpoint, template powerpoint, nguyên liệu làm bài giảng, tài liệu, biểu mẫu miễn phí!

Để lại một bình luận

Email của bạn sẽ không được hiển thị công khai. Các trường bắt buộc được đánh dấu *

This site uses Akismet to reduce spam. Learn how your comment data is processed.